Optiver online assessment oefenen



Solliciteren bij Optiver? Dan staat je een van de meest uitdagende assessments in de financiële sector te wachten. Een goede voorbereiding is dus cruciaal.

Op deze pagina lees je wat je kunt verwachten van elk onderdeel van het online assessment (80-in-8, Zap-N, NumberLogic, Beat the Odds en Zap-Q) en hoe je je hierop voorbereidt.

Alle onderdelen uitgebreid oefenen? Ons Optiver oefenpakket bevat tientallen realistische simulaties, honderden praktische oefenvragen en heldere uitleg en studiegidsen voor alle onderdelen van het assessment.

Optiver oefenpakket (EN)

Eenmalige betaling

Bereid je voor op je Optiver Assessment met:

  • 80-in-8: 2 oefentoetsen en 400+ oefenvragen
  • Zap-N: realistische simulaties van Balloon, Code Compare, Digit, Skyscrapers, ShapeShift en NumberBox
  • NumberLogic: 9 oefentoetsen en 450+ oefeningen
  • Beat the Odds: 1 oefentoets en 300+ oefenvragen
  • Zap-Q: gerichte persoonlijkheidstesttraining
  • Inclusief uitleg, studeigidsen en tips per onderdeel
  • 100% online, direct toegankelijk na aankoop
Eenmalige betaling. Geen abbonement.

Robert, productexpert bij JobTestPrep
Heb je een vraag over het oefenen van je Optiver assessment? Stuur ons dan gerust een e-mail:

Inhoudsopgave

Wat is het Optiver online assessment?

Het Optiver assessment is een intensieve online test waarmee Optiver kandidaten selecteert voor functies als trader, quant researcher of developer. Het wordt afgenomen via Zyvo, een Nederlands platform gespecialiseerd in gamified cognitieve testen.

Tijdens het assessment worden verschillende vaardigheden getest, zoals hoofdrekenen, logisch redeneren, patroonherkenning, risicobeoordeling en probleemoplossend vermogen onder tijdsdruk. Dit gebeurt via een combinatie van klassieke capaciteitentests, game-based challenges en een persoonlijkheidsvragenlijst.

De tests duren in totaal zo’n 2 tot 3 uur en zijn eliminerend: je moet ieder onderdeel voldoende afronden om door te mogen naar het volgende.

Let op: Sommige kandidaten maken in plaats van het Optiver assessment van Zyvo een test van assessmentbureau SHL, zoals de SHL Verify G+.

Is dat bij jou het geval? Klik dan hier voor uitleg en oefenmateriaal speciaal voor SHL-tests.

Uit welke onderdelen bestaat het Optiver online assessment?

Het Optiver assessment bestaat uit meerdere online testen die samen een compleet beeld geven van jouw rekenvaardigheid, redeneervermogen, cognitieve flexibiliteit en persoonlijkheid.

Afhankelijk van de functie waarop je solliciteert (bijvoorbeeld trader, quant of developer), kunnen de onderdelen iets verschillen. Over het algemeen doorloop je de volgende vijf tests:

  • 80-in-8 – een razendsnelle rekentest
  • NumberLogic – patroonherkenning in getallenreeksen
  • Zap-N Games – cognitieve games die reflexen, geheugen en aandacht testen
  • Beat the Odds – kansrekenen en logisch redeneren onder tijdsdruk
  • Zap-Q – een persoonlijkheidsvragenlijst

In de volgende secties bespreken we elk onderdeel afzonderlijk en laten we zien hoe je je het beste kunt voorbereiden.

1. 80-in-8 - De rekentest

Voor trading-functies start het Optiver assessment vrijwel altijd met de bekende 80-in-8 test: 80 rekenvragen in slechts 8 minuten. Deze test meet hoe snel en accuraat je kunt hoofdrekenen onder hoge druk.

De opgaven zijn technisch gezien niet moeilijk – denk aan optellen, aftrekken, vermenigvuldigen en delen met decimalen – maar de combinatie van tempo, volume en tijdsdruk maakt deze test berucht. Je krijgt 1 punt voor een goed antwoord, en verliest een punt bij een fout of overgeslagen vraag.

Een hoge score is essentieel: wie onder de norm scoort, wordt direct afgewezen en mag niet verder met de andere onderdelen.

Let op: deze test is bedoeld voor trading-rollen. Solliciteer je op een functie als developer of quant researcher, dan begin je vaak met een ander onderdeel zoals NumberLogic of een programmeertest.

Hieronder zie je enkele voorbeeldvragen zoals je die kunt verwachten in de 80-in-8 test.

80-in-8 oefenen?

Met het Optiver oefenpakket bereid je je gericht voor op de meest gevreesde test van het assessment:

  • 2 volledige 80-in-8 simulaties onder tijdsdruk
  • 400+ rekenvragen om je snelheid en nauwkeurigheid te verbeteren
  • 4 uitgebreide studiegidsen met tips, rekentrucs en veelvoorkomende valkuilen

Oefen slim, bouw tempo op en voorkom dat je direct strandt op het eerste onderdeel.

2. Zap-N - 9 cognitieve games

Na de rekentests volgt een heel ander soort uitdaging: de Zap-N games. Dit onderdeel bestaat uit negen korte cognitieve spellen, die samen ongeveer een uur duren.

De games lijken op het eerste gezicht makkelijk, maar laat je niet misleiden: elk spel is zorgvuldig ontworpen om je reflexen, aandacht, geheugen, flexibiliteit en besluitvaardigheid te testen.

Kandidaten onderschatten dit onderdeel vaak, maar het is net zo belangrijk als de rekenonderdelen. Wie onder de scoregrens presteert, ligt uit het proces, ook als je op vorige onderdelen goed scoorde. Zorg dus dat je fit en scherp bent voordat je aan deze games begint.

Hieronder lichten we de belangrijkste Zap-N spellen toe.

Zap-N oefenen?

In het Optiver oefenpakket vind je realistische simulaties van de belangrijkste Zap-N games:

  • Balloon, Code Compare, Digit, Skyscrapers, ShapeShift en NumberBox
  • Gericht op het trainen van je reflexen, geheugen, aandacht en probleemoplossend vermogen
  • Inclusief tips, uitleg en strategieën per spel

Zo weet je precies wat je te wachten staat en kom je niet voor verrassingen te staan.

3. NumberLogic - Cijferreeksen oplossen

De NumberLogic test is een numerieke redeneertest van 25 minuten waarin je patronen in getallenreeksen moet herkennen.

Je krijgt cijferreeksen te zien (zoals: 3, 6, 9, 12, ?) en moet het missende getal in de reeks bepalen op basis van een onderliggend patroon. De vragen worden geleidelijk moeilijker en met ongeveer 26 opgaven in 25 minuten is snelheid cruciaal.

Net als bij 80-in-8 geldt: je moet boven de scoregrens uitkomen om door te mogen in het selectietraject. In de voorbeelden hieronder zie je hoe NumberLogic-vragen eruit kunnen zien.

NumberLogic oefenen?

Ons Optiver oefenpakket bevat alles wat je nodig hebt om te slagen voor deze test:

  • 9 realistische NumberLogic-simulaties op verschillende niveaus
  • 450+ oefenvragen om je patroonherkenning te trainen
  • 2 uitgebreide studiegidsen vol strategieën en oplostips

Zo oefen je precies het type vragen dat je kunt verwachten op de NumberLogic test.

4. Beat the Odds - Kansrekenen en logisch redeneren

Als je dit onderdeel bereikt, heb je al een flink deel van het Optiver assessment overleefd. Maar “Beat the Odds” is zeker geen rustpunt. Deze 45 minuten durende test bestaat uit zo’n 30 pittige vragen over kansrekenen, verwachtingswaarden en logisch redeneren.

De opdrachten zijn geïnspireerd op situaties waarin je onder onzekerheid moet denken, zoals gokscenario’s of handelssituaties. Je moet bijvoorbeeld uitrekenen: “Wat is de gecombineerde kans op een bepaalde uitkomst als twee handelingen elkaar beïnvloeden?”.

Met slechts 90 seconden per vraag is de tijdsdruk fors, en is het vaak niet haalbaar om alles exact uit te rekenen. De sleutel? Snel redeneren, goed inschatten en onder druk blijven nadenken. Oefening in kansrekenen en logisch redeneren is hier dus essentieel.

Een voorbeeldvraag uit 'Beat the Odds'

Reken de volgende vraag uit binnen 90 seconden. Je mag een rekenmachine gebruiken.

Bedrijf M produceert 60% van zijn producten als Model 1 en 40% als Model 2. Bedrijf N produceert 80% als Model 1 en 20% als Model 2. Eén van de bedrijven wordt willekeurig gekozen. Vervolgens worden daar twee producten willekeurig geselecteerd. Beide producten blijken van Model 2 te zijn.

Wat is de kans dat ze afkomstig zijn van bedrijf M?

Klik hier voor het antwoord en de uitleg

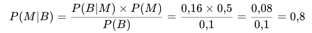
Antwoord: 8/10 = 0,8

Omdat gevraagd wordt naar de kans dat de producten van bedrijf M komen, gegeven dat beide van Model 2 zijn, gaat het hier om een voorwaardelijke kans. We lossen dit op met behulp van de stelling van Bayes.

Stap 1: Kans dat beide producten Model 2 zijn bij bedrijf M

Bij bedrijf M is 40% van de producten Model 2, dus:

𝑃(𝐵∣𝑀) = 0,4 × 0,4 = 0,16

Stap 2: Kans dat bedrijf M gekozen wordt

Er zijn twee bedrijven en er wordt willekeurig gekozen:

𝑃(𝑀) = 0,5

Stap 3: Kans dat beide producten Model 2 zijn (totaal)

Er zijn twee scenario’s:

  • Beide producten komen van bedrijf M: 0,4 × 0,4 = 0,16
  • Beide producten komen van bedrijf N: 0,2 × 0,2 = 0,04

Beide bedrijven hebben elk 50% kans om gekozen te worden:

𝑃(𝐵) = 0,5 × 0,16 + 0,5 × 0,04 = 0,1

Stap 4: Bayes’ Theorem toepassen

Beat the Odds voorbeeld Optiver

Conclusie: de kans dat de producten van bedrijf M komen is 80%.

Beat the Odds oefenen?

Het Optiver oefenpakket bevat uitgebreide oefening voor Beat the Odds:

  • Meer dan 300 oefenvragen over kansrekening, verwachtingswaarden en logische redenering
  • 1 volledige testsimulatie met vergelijkbare tijdsdruk als het echte assessment
  • Heldere uitleg en uitwerkingen bij elke vraag

Train je inschattingsvermogen en leer sneller redeneren onder druk.

5. Zap Q - De persoonlijkheidstest

Het laatste onderdeel van het Optiver assessment draait om jou als persoon: de ZAP-Q persoonlijkheidsvragenlijst. Deze test duurt ongeveer 25 minuten en brengt je denkstijl, voorkeuren en werkgedrag in kaart.

In tegenstelling tot de andere onderdelen is de ZAP-Q niet eliminerend. Optiver gebruikt de resultaten om tijdens latere interviews gerichte vragen te stellen en om te beoordelen hoe jij in een team past.

Maar vergis je niet: ook hier staat er iets op het spel. Je antwoorden worden serieus meegenomen in het verdere sollicitatieproces. Het is dus belangrijk om:

  • eerlijk en professioneel te antwoorden,
  • te laten zien wie je bent in een werkomgeving, niet in privésfeer,
  • te zorgen voor consistentie in je antwoorden,
  • dicht bij jezelf te blijven,
  • je bewust zijn van de vereisten van de functie.

Na deze vragenlijst is het online assessment eindelijk afgerond.

Voorbereid de Zap-Q in?

Ons Optiver oefenpakket helpt je om:

  • Inzicht te krijgen in je persoonlijkheidsprofiel
  • Te oefenen met persoonlijkheidsvragen, zoals je die kunt verwachten tijdens het assessment
  • Te leren hoe je professioneel en eerlijk antwoordt zonder jezelf tekort te doen

Bereid je voor op het type vragen en voorkom verrassingen.



Veelgestelde vragen over het Optiver assessment

Voor functies als Graduate Trader, Intern of Quant Trader zijn alle onderdelen van het assessment van toepassing. De nadruk ligt op snel hoofdrekenen, patroonherkenning en cognitieve lenigheid:

  • Je begint vrijwel altijd met de beruchte 80-in-8 rekenoefening
  • Daarna volgen NumberLogic, Beat the Odds en de Zap-N games
  • Het assessment sluit af met de ZAP-Q persoonlijkheidsvragenlijst

Voor technische functies zoals software developer of engineer wordt het assessment vaak aangepast op functie-inhoud:

  • Geen 80-in-8 test – je start vaak met NumberLogic en de Zap-N games
  • Je maakt een programmeertest (bijvoorbeeld via Codility of HackerRank)
  • Soms krijg je een meerkeuzequiz over netwerken of computerarchitectuur
  • Kansrekening (Beat the Odds) komt ook voor
  • Afsluiting met de persoonlijkheidsvragenlijst (ZAP-Q)

Voor researchfuncties (zoals Quantitative Researcher of Analyst) is het assessment vaak een mix van rekenvaardigheid en programmeren:

  • Je maakt de NumberLogic- en Beat the Odds-tests
  • In plaats van 80-in-8 krijg je een programmeertoets
  • Je krijgt ook een aantal Zap-N games, soms in verkorte vorm
  • Het assessment wordt afgesloten met de ZAP-Q persoonlijkheidstest

Heb je alle onderdelen van het online assessment doorstaan? Dan ben je al ver gekomen, maar je bent er nog niet. Na het assessment volgen doorgaans drie aanvullende stappen in de selectieprocedure:

  1. HR-gesprek. Je voert een telefonisch gesprek met een HR-medewerker van Optiver. Dit gesprek draait vooral om jou als persoon: wie ben je, wat motiveert je, en waarom Optiver? Je krijgt ook de ruimte om vragen te stellen over de organisatie en het verdere proces.

  2. Technisch interview. De volgende stap is een tweede telefonisch interview, dit keer gericht op je inhoudelijke kennis. Afhankelijk van de functie krijg je vragen en opdrachten over onderwerpen zoals kansrekening, tradingstrategieën, programmeren of logisch redeneren. Het draait hier minder om het juiste antwoord en meer om je denkwijze, uitleg en doorzettingsvermogen. Denk hardop, blijf kalm en toon dat je analytisch kunt denken.

  3. Interviewdag op kantoor. Als je ook dit goed doorkomt, word je uitgenodigd voor de Optiver Interview Day. Zoals de naam al zegt, ben je dan een hele dag op locatie in een van de Optiver-kantoren. De reiskosten en eventuele overnachting worden geregeld door Optiver.

Voor trading-kandidaten bestaat de dag meestal uit:

  • Een tweede HR-interview
  • Nog een technisch interview
  • Een groepsopdracht in de vorm van een market-making simulator, waarbij je in teamverband laat zien hoe je beslissingen neemt onder druk

Naast inhoudelijke onderdelen is dit ook het moment waarop je het team beter leert kennen. En zij jou.


Close